过去的十几年里,光化学反应的研究报道呈爆发式增长。过渡金属光敏剂配合物类催化剂和有机高共轭催化剂等光氧化还原催化剂广泛应用于各种有机反应,除了经典的光催化的反应(如Barton亚硝酸酯光解反应,Curtius重排,Diels-Alder反应,脱羧卤代反应,de Mayo反应等),原来过渡金属催化偶联反应也可以在光催化条件下进行,而且相比经典条件,光催化的反应条件更加温和。另外像Pinacol偶联反应这种一百多年前发现的经典反应,化学家也开发出来光催化的反应条件【J. Am. Chem. Soc., 2013, 135, 17735】。光化学反应已成为构建化学键的强有力方法。使用廉价的LED灯,甚至可见光便可实现光化学反应,光化学代替原来必须加强热才能实现的转化,有效避免了可能生成的各种副产物,因此光化学反应在学术界和工业界得到较为广泛的应用。光化学反应在有机合成中常应用于下面几类反应,如,异构化反应,环加成反应,重排反应,成环反应,光分解断键反应,偶联反应,三氟甲基化反应等。下面小编对往期发布的有关光照条件下进行的反应进行汇总,方便学习交流。点击标题查看详细内容。内容不全,抛砖引玉,欢迎大家提醒完善。

一、重排反应

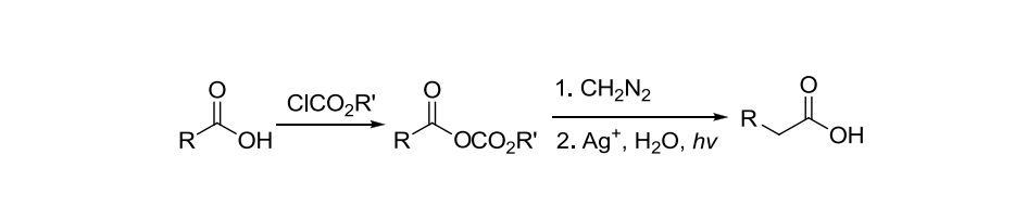
羧酸经过重氮甲烷处理得到多一个碳的同系物的反应。
光照条件下也可以重排,酰基叠氮在光照条件下先生成氮宾,而后重排为异氰酸酯:


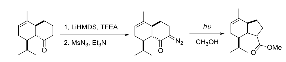
α-重氮酮重排得到烯酮的反应。烯酮是非常重要的有机中间体。

【J. Org. Chem. 1998, 63, 7953-7956】

在自由基催化下,烯烃或炔烃和烯基环丙烷反应得到烯基环戊烷或烯基环戊烯的反应。
Di-π-methane重排(Di-π-methane Rearrangement)

在光照射下二烯发生重排,得到乙烯基环丙烷的反应。在含有杂原子如O或者N,或者含有苯环取代基的底物也能进行该反应。
Vinylcyclopropane-cyclopentene rearrangement(烯基环丙烷-环戊烯重排)

乙烯基环丙烷通过双自由基中间体转化为环戊烯的反应。

【Tetrahedron Letters 1991, 32, 1107】

【Chem. Sci., 2015,6, 7034-7043 】
二、环加成反应

烯二炔类化合物在H• 供体(如1,4-环己二烯)存在下通过热或光诱导环化构建取代苯环的反应。

丙二烯基烯炔在氢自由基供体(如 1,4-环己二烯)存在下在加热或光照条件下构建取代芳环的反应。反应机理同Bergman环化和Schmittel环化类似。

烯酮和烯烃进行[2 + 2]-光化学环加成后,进行反-羟醛缩合得到1,5-二酮的反应。

光诱导下羰基化合物和烯烃进行电环化得到多取代的氧杂环丁烷的反应。
1,3-偶极环加成反应(1,3-Dipolar Cycloaddition)

光照条件下,Ru(bpy)3Cl2催化烯基苯基硝酮,进行分子内的偶极环加成反应。
【Org. Lett., 2019, 1388–1392】

Diels-Alder反应,反电子要求的Diels-Alder反应和Hetero-Diels–Alder reaction(杂-Diels–Alder反应)都是[4+2]环加成反应,都属于协同反应。是由共轭双烯与亲双烯体构建环己烯骨架的经典反应。

光照条件下,Ru(bpy)3Cl2作为氧化还原催化剂,将羟胺氧化为亚硝基化合物,接着进行,亚硝基-Diels–Alder反应。
【Eur. J. Org. Chem. 2017, 2095–2098】
三、光催化断键裂解反应

羧酸转化为Barton酯,然后进行自由基脱羧的反应。

将醇转化为硫代酯类中间体,然后自由基断裂得到醇的脱羟基产物的反应,称为Barton-McCombie脱羟基反应

【Org. Lett. 2021, 23, 808–813】

1939年,H. Hunsdiecker报道了干燥的脂肪羧酸银和溴反应可以得到少一个碳原子的溴代烷烃。脂肪羧酸,α,β-不饱和羧酸和特定的芳基甲酸进行脱羧卤代得到少一个碳原子的卤代烷烃的反应被称为Hunsdiecker反应。

【Synthesis, 2005, 1319-1325】
四、其他

Buchwald–Hartwig反应,钯催化下芳基卤代物或芳基磺酸酯和胺或酰胺偶联制备芳胺或酰基芳胺的反应。
【Science 2016, 353, 279】

【 Angew. Chem. Int. Ed. 2018, 57, 3488】

【PNAS 2020, 117, 21058】

在碱存在下有机硼试剂和芳香或烯基卤代物(或芳香三氟甲磺酸酯)在钯催化下进行交叉偶联的反应。

【Science 2014, 345, 433】

【J. Am. Chem. Soc. 2017, 139, 9847】

光解亚硝酸酯得到δ-肟醇的反应。

NBS(N-溴丁二酰亚胺)在自由基引发条件下对烯烃的烯丙位或芳烃的苄位进行取代得到烯丙基溴或苄溴的反应。常见的自由基引发条件有:自由基引发剂,加热或光照。四氯化碳是最常用的溶剂。

辗转四十余年,那个修饰杂芳环常用的人名反应,如今发展得怎样了?

【ACS Catal. 2017, 7, 4057】
【实用有机合成化学】




随着各种新的光催化剂的发现,各种偶联反应也可以在光催化条件下进行:
【化学部落~格格】可見光/Ni雙催化的二級烷基與芳基的交叉偶聯反應
Nat. Commun.可见光和手性酸共催化甲苯及其衍生物的不对称C-H键官能团化反应
镍-可见光氧化还原协同催化体系实现C(sp3)-H硫代羰基化反应
【Angew. Chem. Int. Ed.】流动光化学促进的铁催化Kumada交叉偶联反应
【CBG资讯】Chemical Science:可见光催化下合成β-三氟甲基叔烷基胺
光催化下N-膦酰基炔胺和α-重氮酮通过流动反应器进行苯环关环反应的研究
【XMOL资讯】手性亚磺酰基介导的不对称光催化自由基Smiles重排反应构建全碳季碳立体中心
【化学空间】上海交通大学药学院孙占奎课题组Green Chem.:无金属催化可见光诱导串联Wittig/加氢烷基化反应

